首页 > 教育 > 新闻详情

2026年第一批福州市学科带头人和骨干教师名单公布

2026-04-08 来源:智慧海都

N海都全媒体记者 齐榕


记者从福州市教育局获悉,福州市教育局近日公布2026年第一批福州市学科带头人和骨干教师名单。


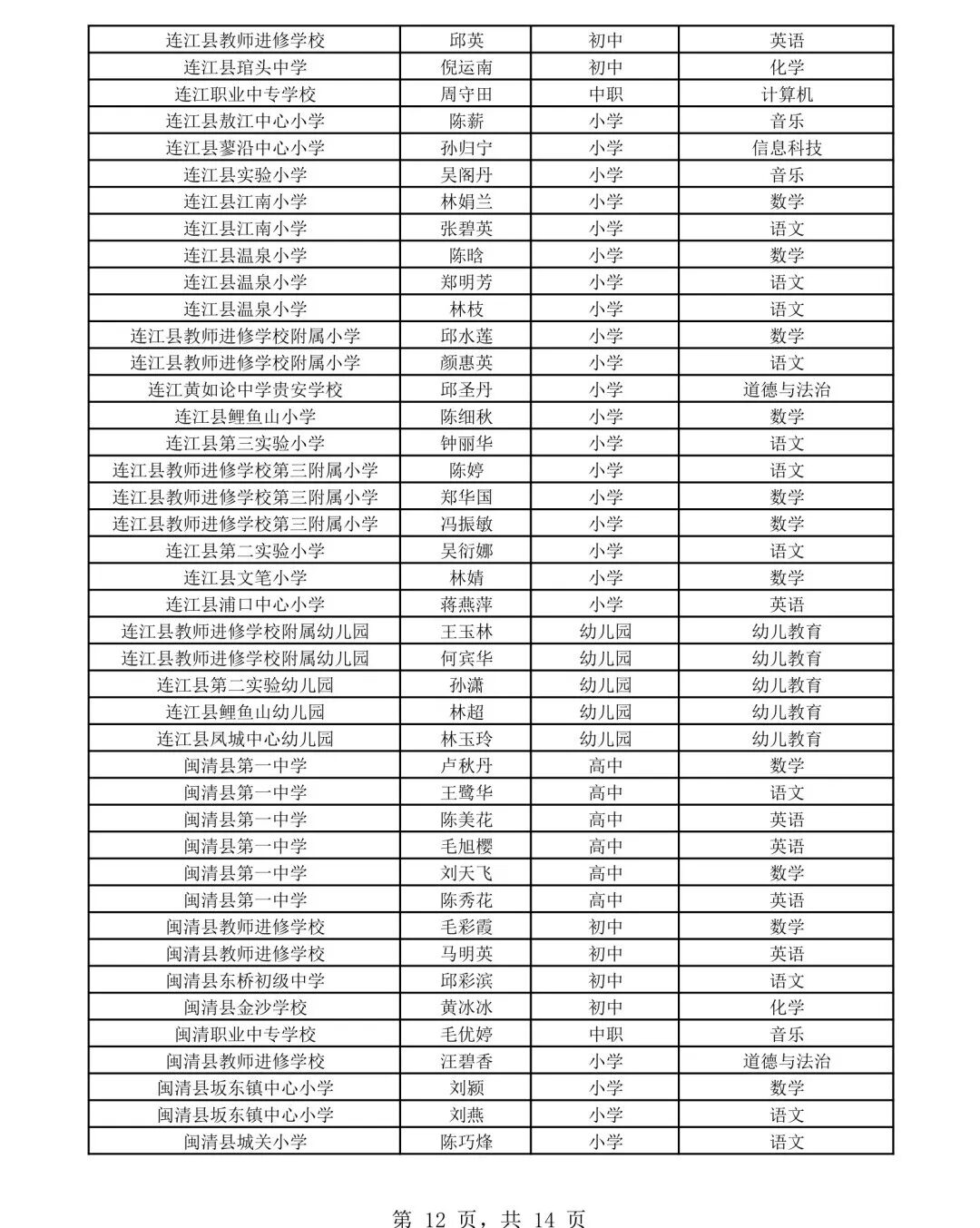
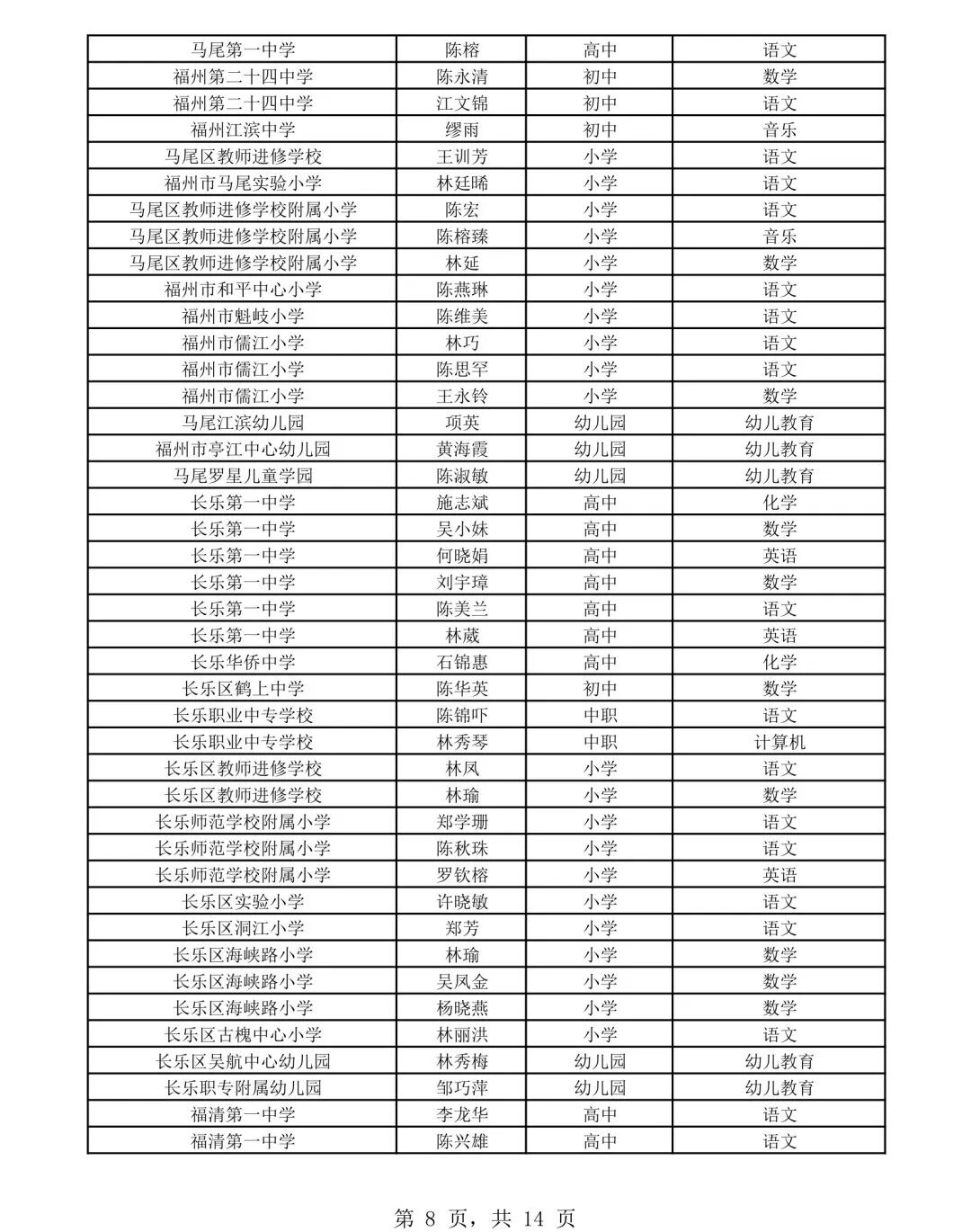
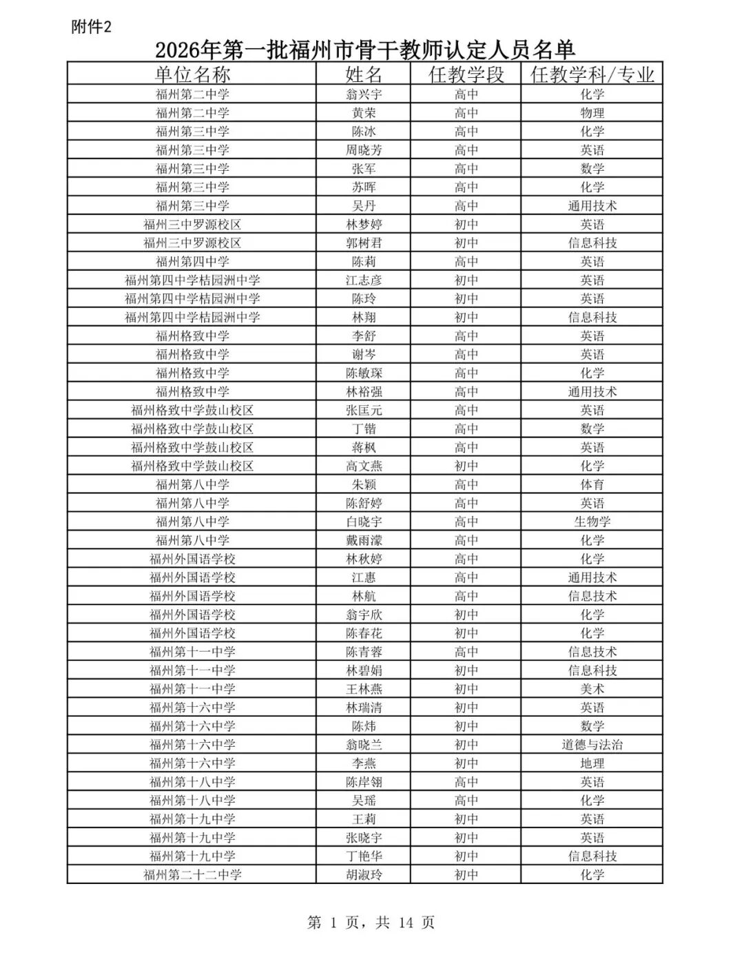
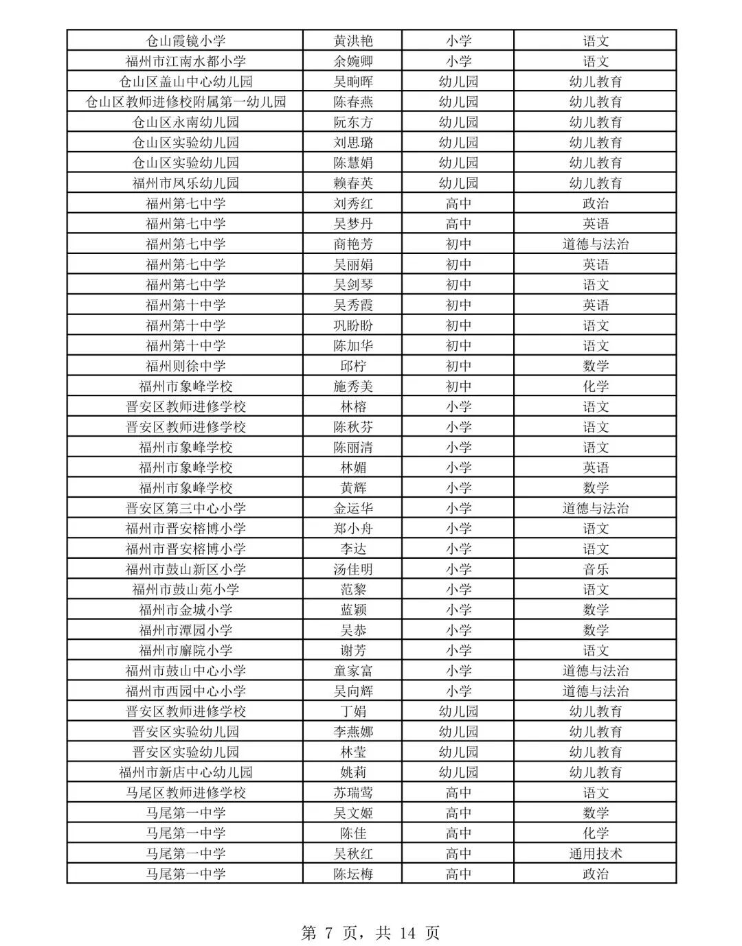
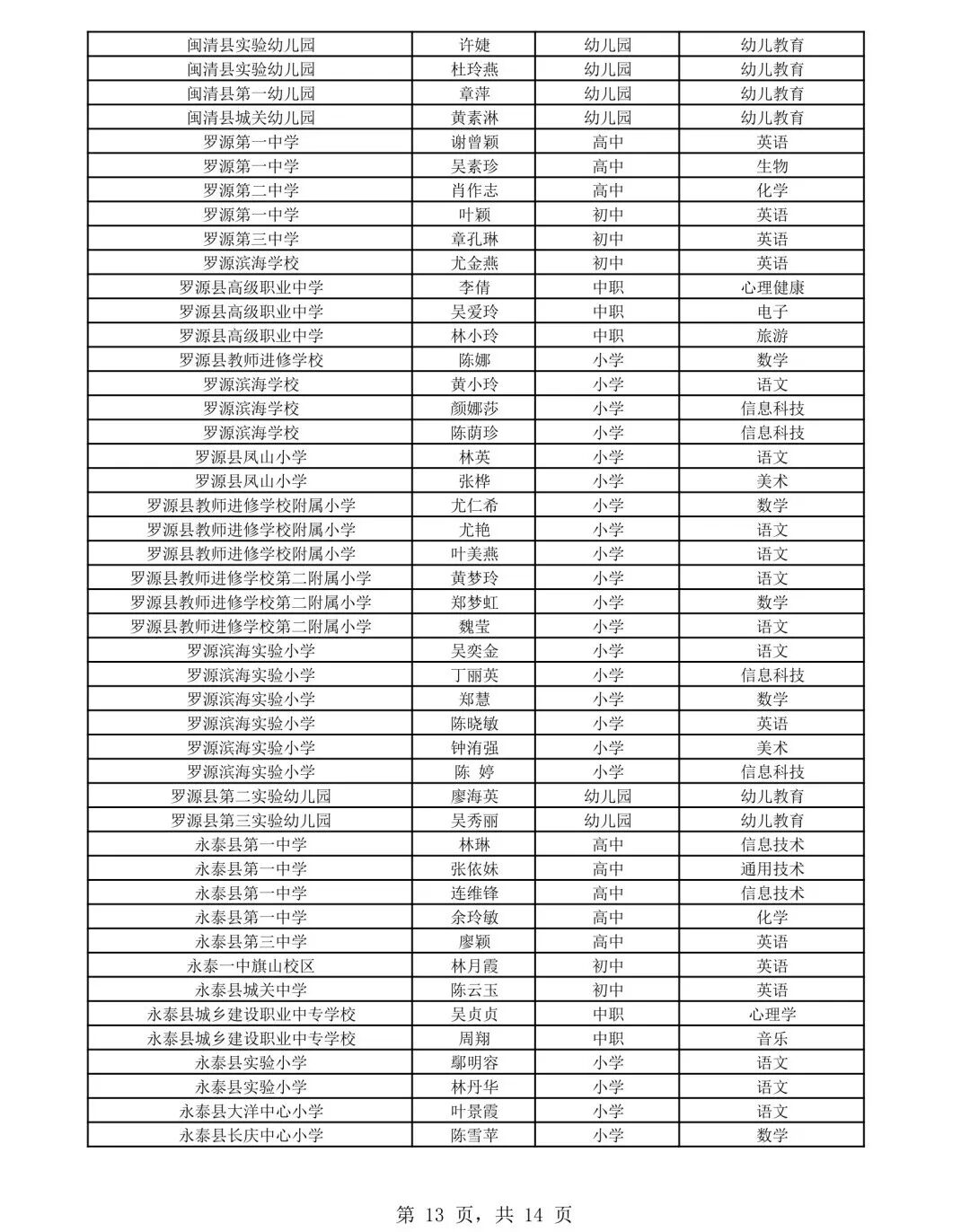
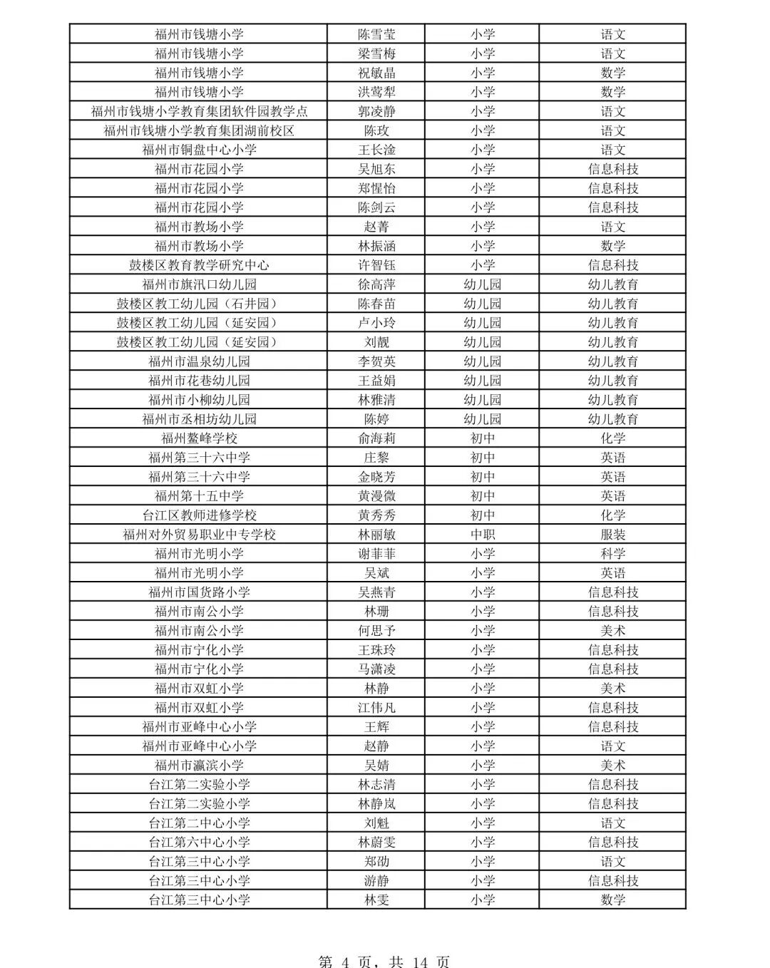
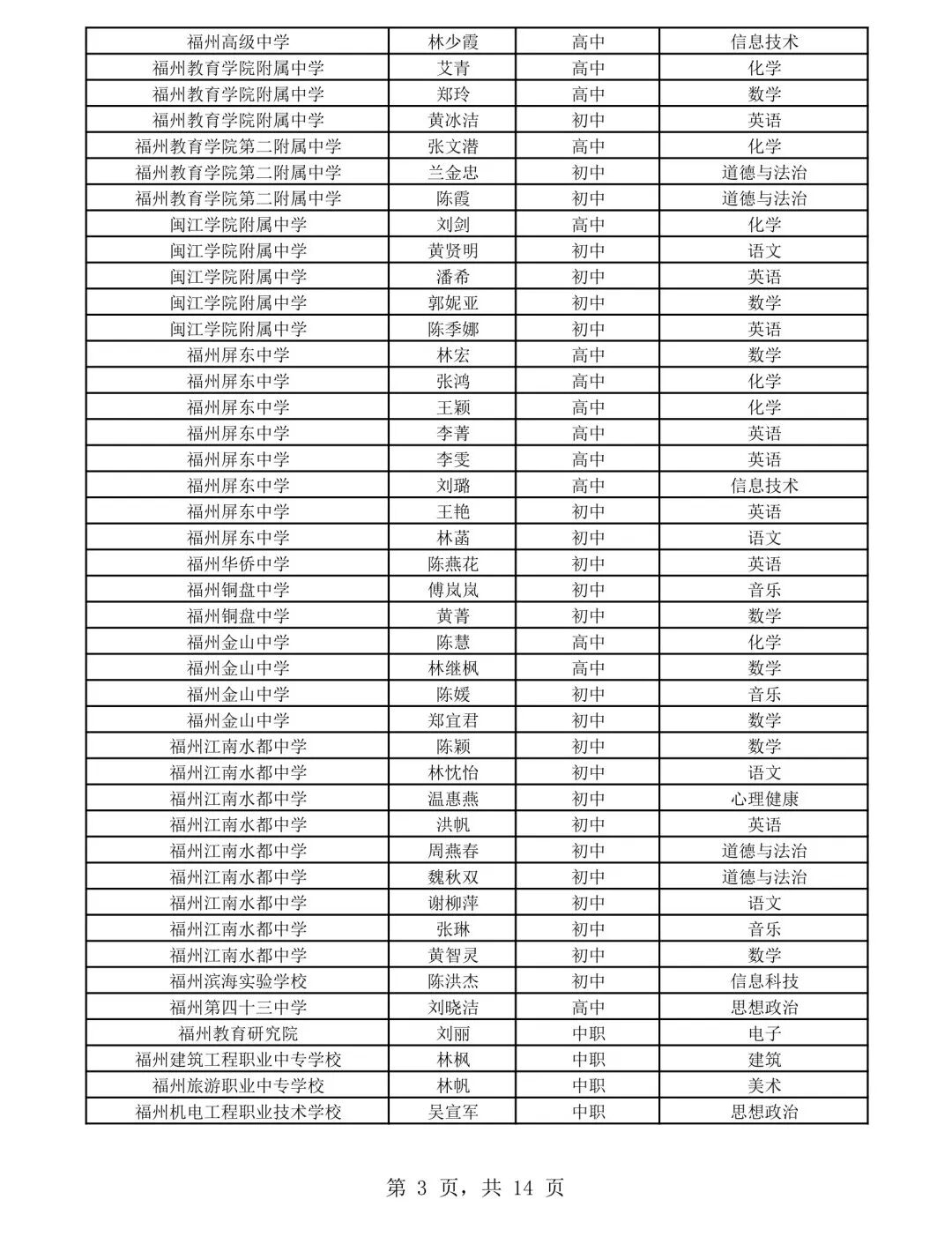
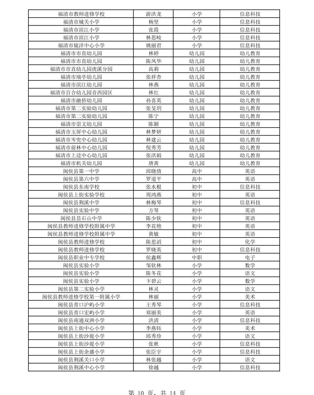
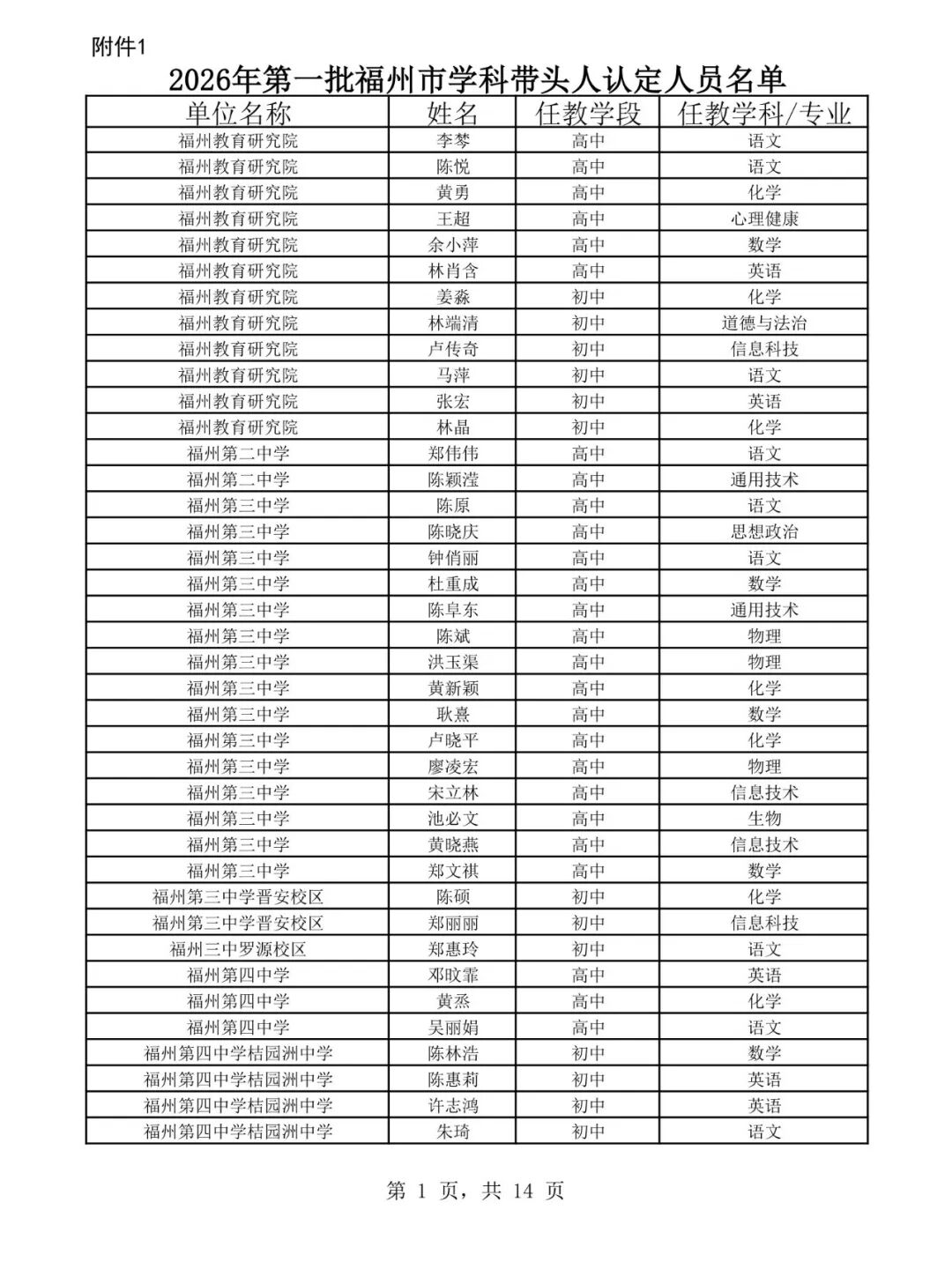
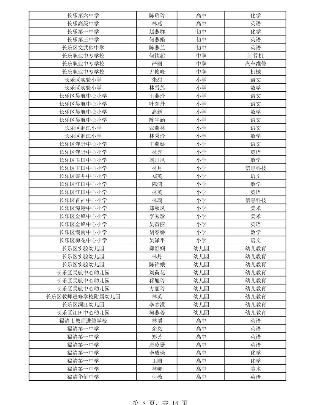
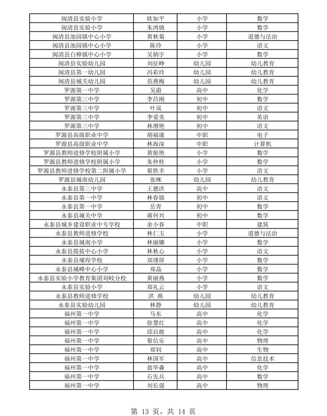
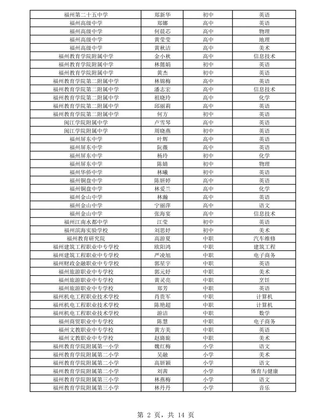
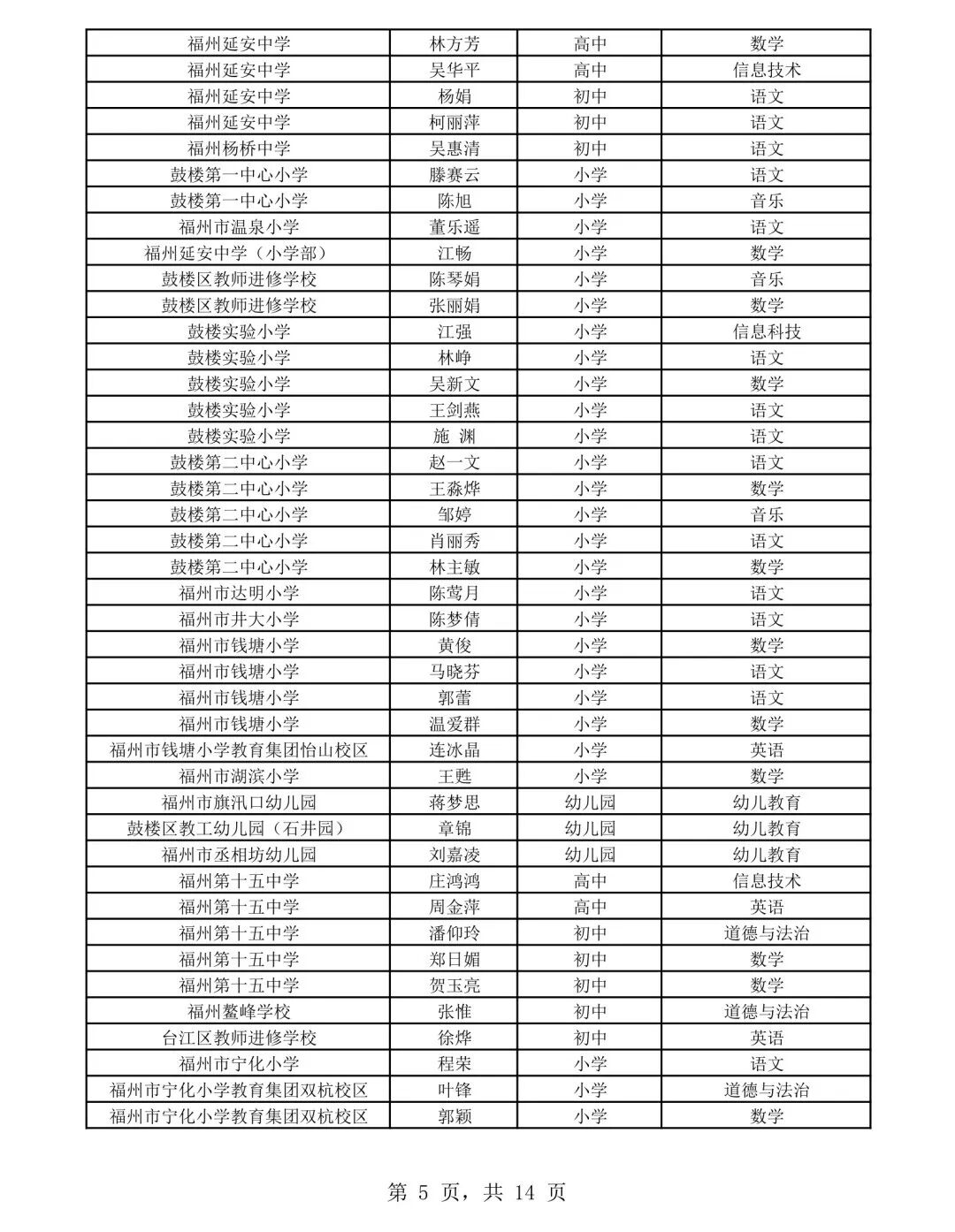
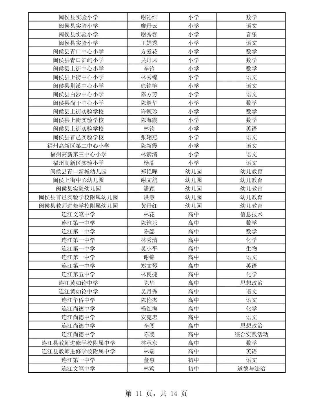
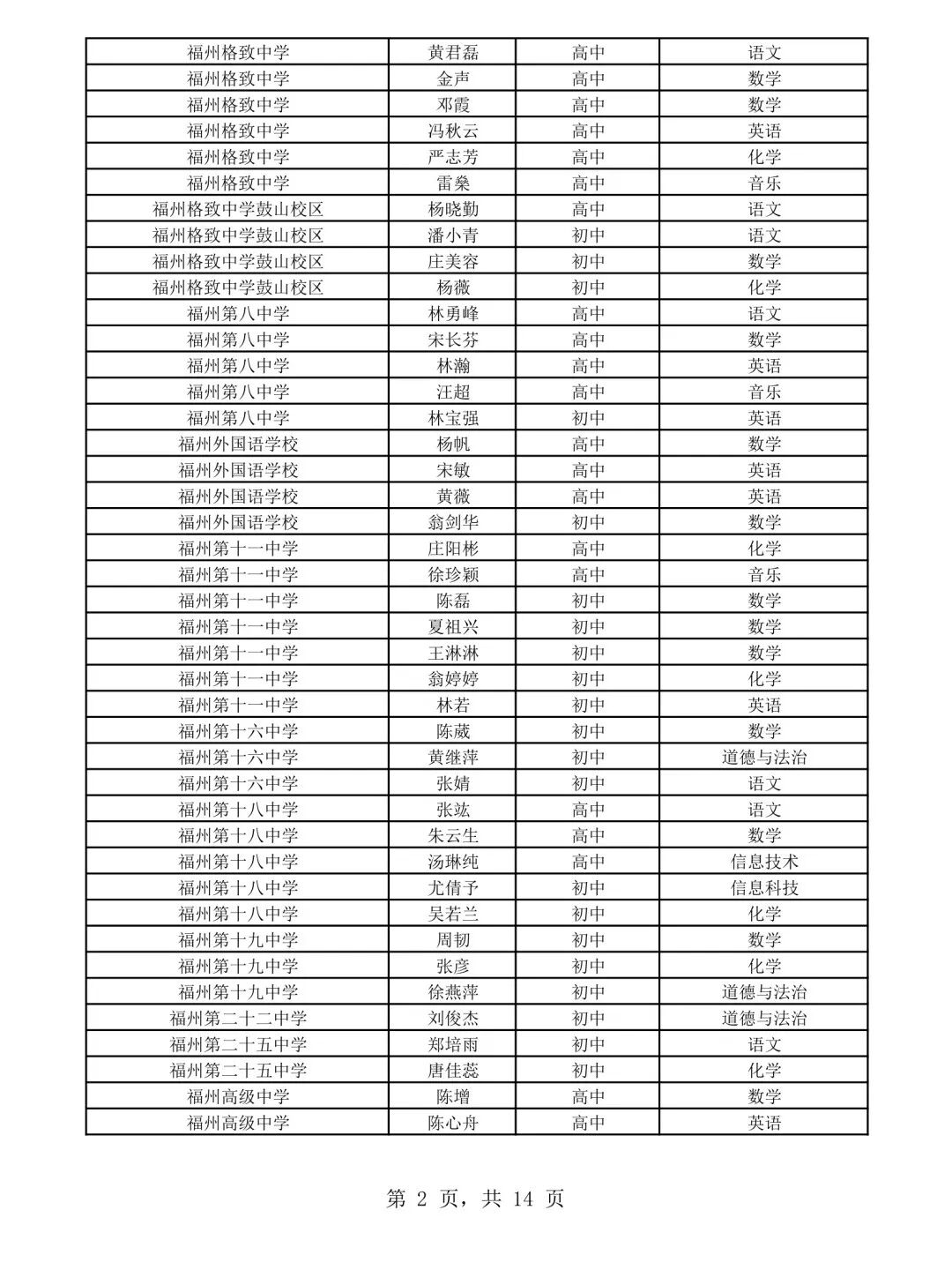
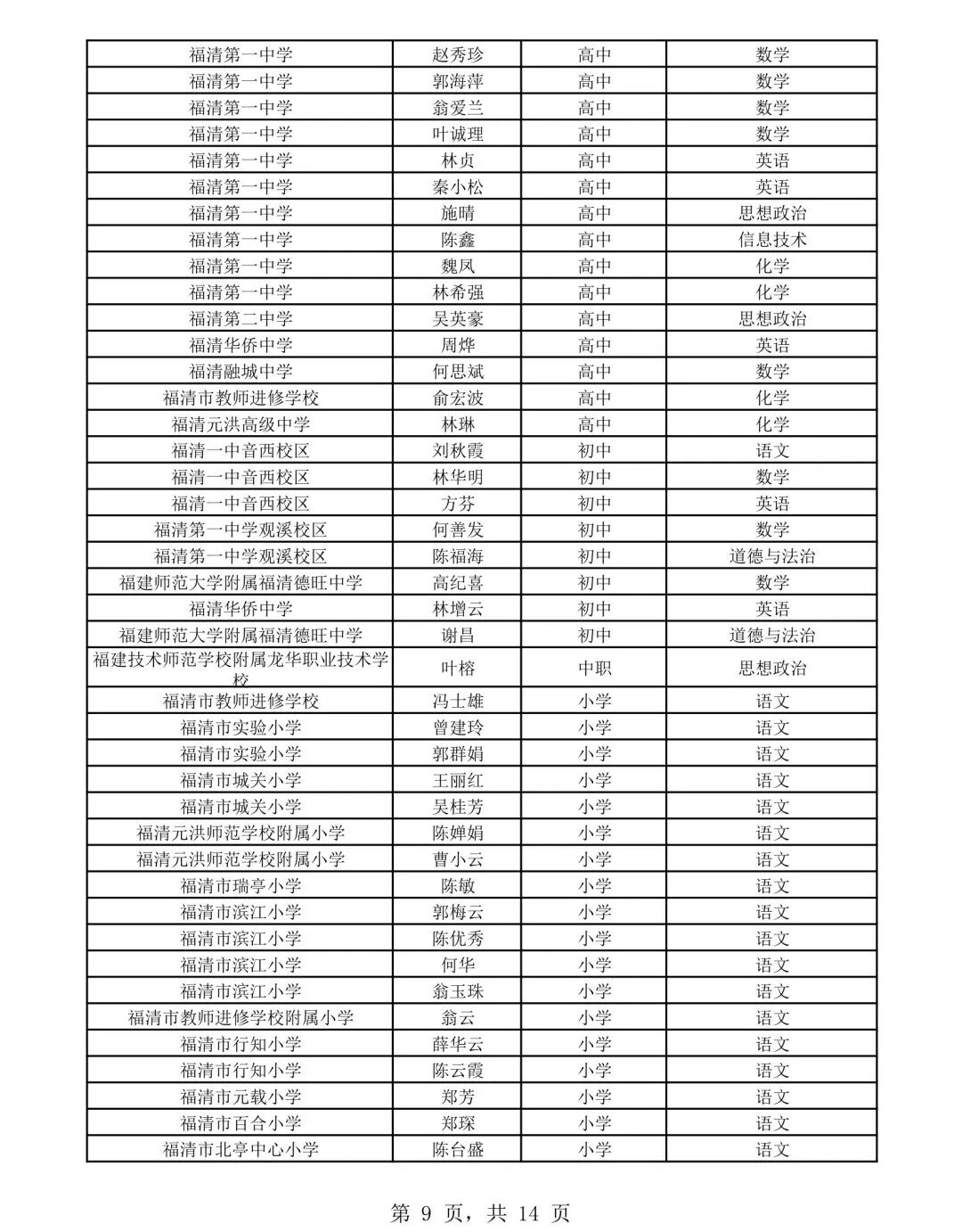
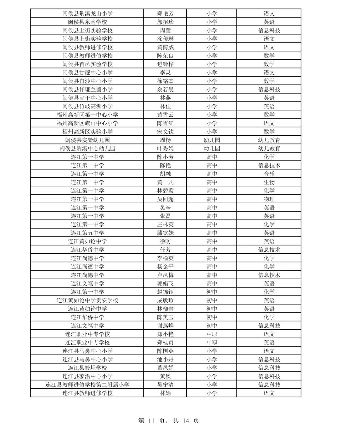
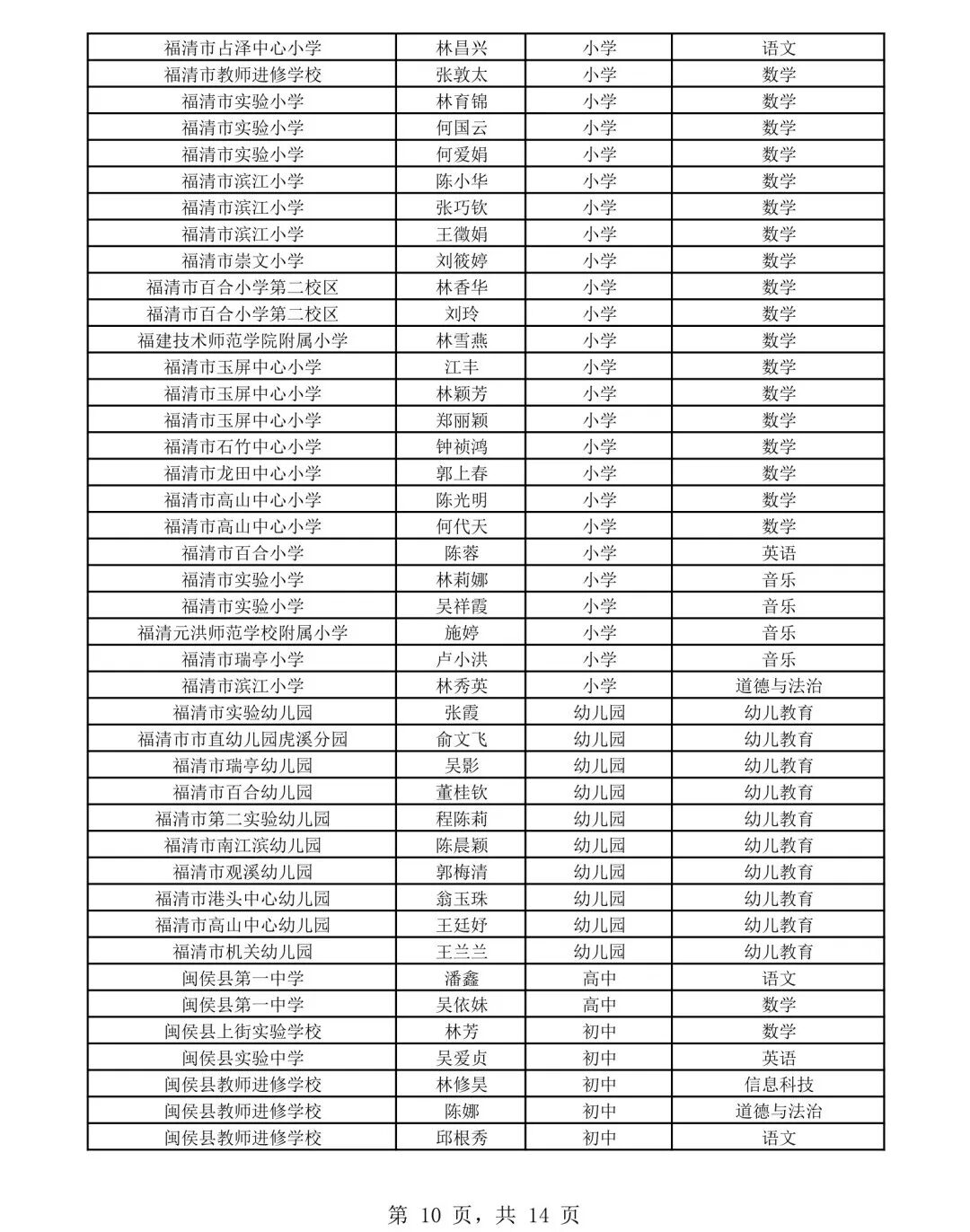
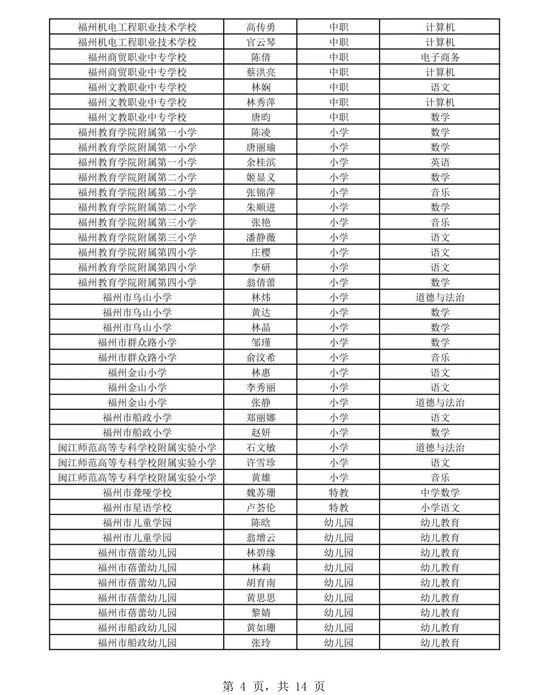
据了解,此次公布的2026年第一批福州市学科带头人和骨干教师名单,包括福州教育研究院李棽等557人福州市学科带头人、福州第二中学翁兴宇等627人福州市骨干教师。






责任编辑: 海峡都市报

相关推荐
文章不错,点个赞吧!
网友评论: 已有条评论
返回顶部
海峡都市报官网归海峡都市报社版权所有,未经海峡都市报社书面授权,
不得转载、摘编或以其他方式使用和传播,违者将依法追究法律责任。
[闽ICP备07502384号]
Copyright © 2022 海峡都市报社, All Rights Reserved